2020东莞东城小升初报名初审通过名单公示

东城街道小升初学生报名材料初审已于2020年6月30日结束。网上报名人数3695人,初审通过人数2789人。现将初审通过名单公示如下:
一、初审结果
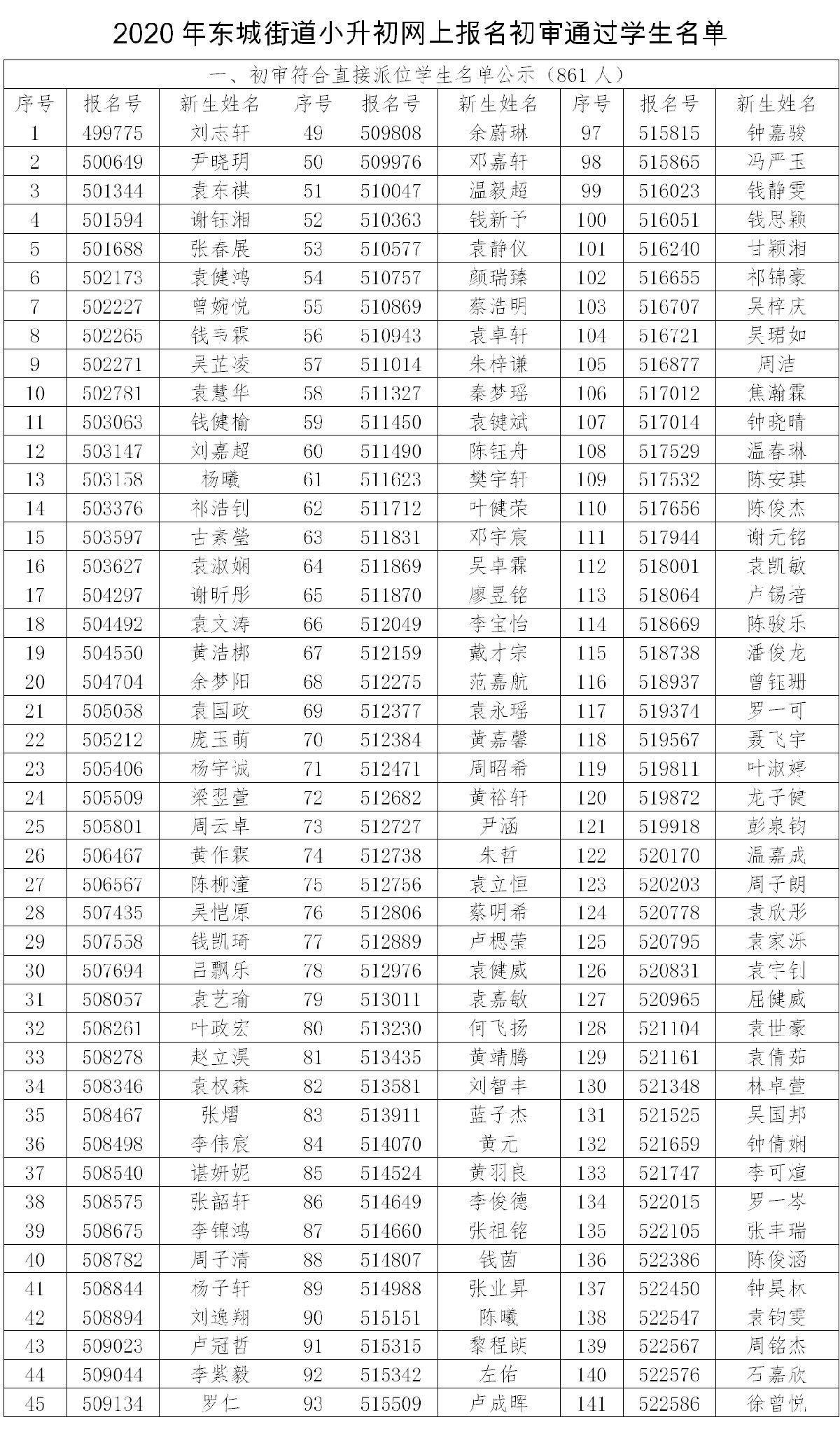
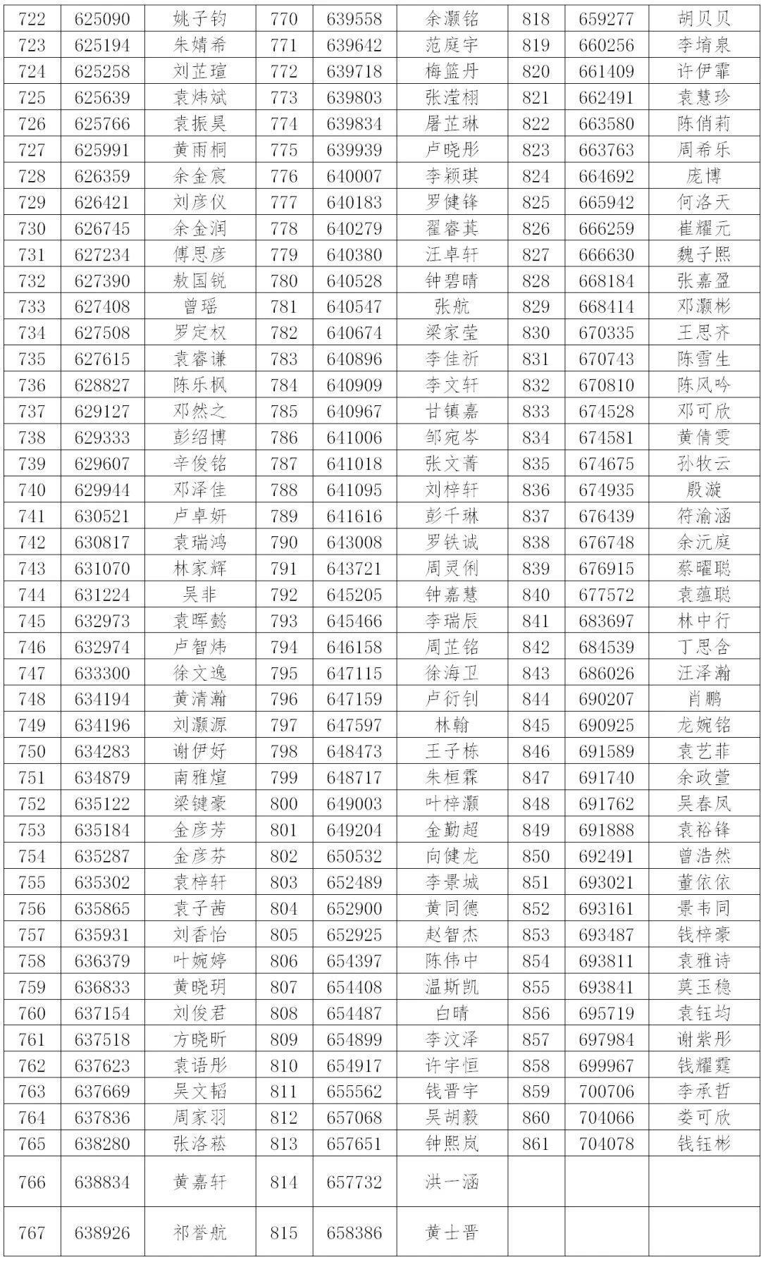
1. 符合直接派位入学条件的学生861名,即2014年8月31日前入户东城的户籍学生;
2. 符合公办学位抽签条件的学生约1928名,即2014年9月1日至2019年12月31日入户东城的户籍生及其他各类政策生人数,含积分入学35人。抽中的学生将可参加电脑派位入读公办初中。
二、公示安排
1. 公示内容:初审通过的学生名单,详见附件;
2. 公示时间:7月1日至2日17:00。
三、其他
公示期间,如需复核审核结果,请按招生简章要求,带齐报名材料原件于7月2日17:00前到东城街道教育管理中心复核。逾期不再受理。
附件:2020年东城街道小升初网上报名初审通过学生名单






