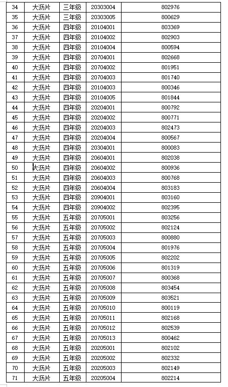
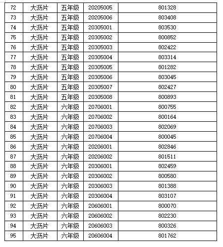
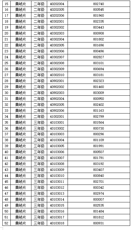
2020年南海区大沥镇公办学校插班生抽签号公布

2020年,大沥镇初中插班生全部可以直接派位,不需要进行抽签。部分小学的个别年级报名人数少于可供学位数,可直接派位,直接派位的名单8月2日已在学校校门口公告栏公示。目前,大沥公办学校插班生的抽签号已随机生成,各学校已张贴至学校门口公告栏,家长们也可通过“南海大沥”微信进行查阅。
大沥片区抽签号



盐步片区抽签号



黄岐片区抽签号






2020年大沥镇公办学校插班生现场电脑派位,将于8月4日下午进行。派位结果当天在“南海大沥”微信、各校门口公告栏公布。8月5日,插班生到学校报到。
