2020广东高考文科类一分一段统计表(2019广东文科一分一段统计表)

广东省2020年普通高校招生考生填报志愿时间为7月25日-8月2日。
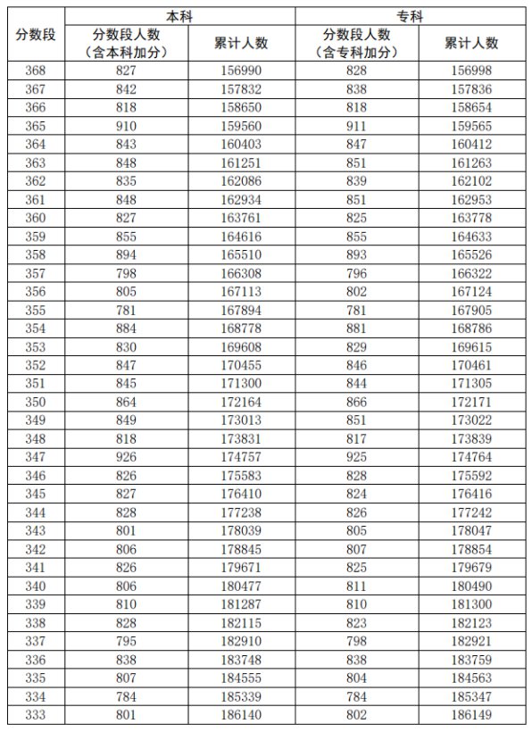
为便于考生填报志愿,广东省教育考试院7月24日下午公布2020年普通高考各科类考生各分数段成绩数据。
2020年广东省普通高考文科类分数段统计表【一分一段表】
扩展资料:
2020广东高考修改志愿时限及次数。
考生志愿未在网上确认前,在规定时间内可多次上网修改自己填报的志愿。
第一时段:7月25日10:00-7月26日16:00,第二时段:7月26日19:00-8月2日16:00
考生首次“确认志愿”后,如有需要可最多进行2次取消志愿确认,修改志愿并重新确认志愿。
当考生确定不再进行志愿修改时,必须在规定时间内进行网上志愿确认。
取消志愿确认后重新修改的志愿,必须再次进行网上确认,否则志愿修改无效。
录取时以考生网上最后确认的志愿数据为准。
