2021广东省提前批本科卫生专项计划普通类(物理)投档线一览

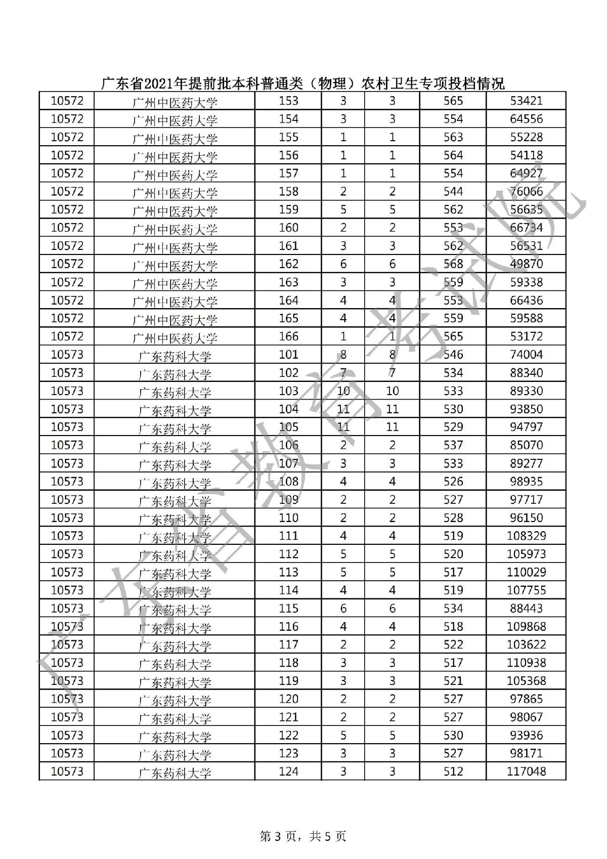
广东省2021年提前批本科普通类(物理)农村卫生专项投档情况
【拓展延伸】
今年我省提前批本科教师专项计划和卫生专项计划实行平行志愿,均设10个院校专业组,一个定向点为一个院校专业组,进一步降低考生填报风险,增加考生被录取机会。从投档情况来看,提前批本科教师专项计划和卫生专项计划所有院校第一次投档均满档,考生填报志愿情况总体均衡,院校生源良好。
提前批本科卫生专项计划普通类(物理)最低投档分为501分。部分高校生源火爆,如广州中医药大学、汕头大学医学院,院校专业组投档分较高。
