2021广东高考物理试卷(2021广东高考物理试卷电子版)

2021广东高考物理试题
【试题答案】
1.C
2.D
3.B
4.A
5.C
6.D
7.B
8.B,D
9.B,C
10.A,D
11.(1)6.04 6.04
(2)3
(3)49.7N/m
12.(1)短接 减小
(2)①b②大于 RT=R01-R02
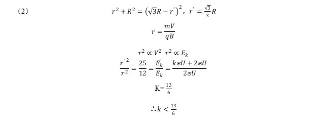
13、
14、
15.(1)小于 不变
(2)研究瓶内与注射器内气体
p1=1.0×105Pa
V1=[(0.9-0.5)+0.3×0.4]ml
V2=0.4ml
由玻-马定律有p1V1=p2V2 可解得p2=1.3×105Pa
